تخلیه الکترواستاتیکی (ESD) به جریان ناگهانی و کنترل نشده الکتریسیته بین دو جسم با پتانسیل الکتریکی متفاوت گفته میشود که معمولاً به دلیل تماس، شکست دی الکتریک یا اتصال ناگهانی رخ میدهد. اگرچه این پدیده در بسیاری از موارد توسط انسان قابل احساس یا مشاهده نیست، اما میتواند خسارات جدی و جبرانناپذیری به تجهیزات الکترونیکی حساس وارد کند. در صنایعی نظیر نفت و گاز، مخابرات، تولید صنعتی و مراکز داده، رویدادهای ESD ممکن است منجر به خرابی قطعات، از دست رفتن اطلاعات یا حتی بروز خطرات ایمنی شوند.
به منظور پیشگیری از چنین پیامدهایی، سیستمهای پیشرفته تخلیه الکترواستاتیکی (EDS) توسعه یافتهاند که وظیفه کنترل و دفع ایمن بارهای استاتیکی را بر عهده دارند. شرکت سانا صنعت کنزا بهعنوان یکی از پیشگامان ارائه راهکارهای مدرن در حوزه اتصال به زمین و ارتینگ الکترونیکی، محصولات EDS متنوعی را عرضه کرده است که بهطور خاص برای محافظت از تجهیزات در برابر آسیبهای ناشی از ESD طراحی شدهاند. در این مقاله، ضمن بررسی علمی سازوکار تخلیه الکترواستاتیکی، به عملکرد سیستمهای EDS و مزیتهای آنها نسبت به روشهای سنتی اتصال به زمین خواهیم پرداخت، و اهمیت آنها را در ارتقای ایمنی و بهرهوری صنعتی مورد تأکید قرار خواهیم داد.
تخلیه الکترواستاتیکی چیست؟
تخلیه الکترواستاتیک زمانی اتفاق میافتد که دو جسم با پتانسیل الکتریکی متفاوت در تماس یا نزدیکی یکدیگر قرار گیرند و در نتیجه، انتقال سریع بار الکتریکی برای همپتانسیل شدن آنها صورت گیرد. این پدیده بر پایه اصول الکترواستاتیک قابل مدلسازی است. اختلاف پتانسیل الکتریکی (V) بین دو جسم از رابطه V = Q / C به دست میآید. جایی که Q بار ذخیرهشده و C ظرفیت خازنی جسم است.
هنگامی که این اختلاف پتانسیل از قدرت دیالکتریک محیط (برای مثال، هوای اطراف) فراتر رود، تخلیه الکتریکی رخ میدهد که اغلب بهصورت جرقه نمایان میشود. هرچند انرژی آزادشده در یک رویداد ESD معمولاً در حد میکروژول تا میلی ژول است، اما همین مقدار ناچیز برای آسیب رساندن به قطعات حساس الکترونیکی مانند مدارهای مجتمع (ICها) کفایت میکند، زیرا این قطعات تحمل بسیار پایینی در برابر نوسانات ناگهانی ولتاژ (spikes) دارند.
منابع ESD
تخلیه الکترواستاتیکی (ESD) میتواند از منابع متعددی ناشی شود که هرکدام در محیطهای صنعتی یا روزمره اثرات خاص خود را دارند. مهمترین منابع ESD عبارتاند از:
- مدل بدن انسان (HBM): بدن انسان در اثر اصطکاک با سطوحی مانند فرش، لباسهای مصنوعی یا صندلیهای اداری، میتواند بارهای الکتریکی قابلتوجهی (گاهی تا ۲۵ کیلوولت) ذخیره کند. این بارها در صورت تماس با تجهیزات حساس، بهصورت ناگهانی تخلیه میشوند.
- مدل دستگاه شارژشده (CDM): قطعات و دستگاهها ممکن است در حین تولید، بستهبندی یا جابجایی دچار تجمع بار الکتریکی شوند و خود بهعنوان منبع تخلیه عمل کنند.
- مدل ماشین (MM): تجهیزات صنعتی و ابزارهای مکانیکی نیز در حین عملکرد یا تماس با مواد دیگر میتوانند بار استاتیکی تولید کرده و به دیگر اجزا منتقل کنند.
- عوامل محیطی: شرایط محیطی مانند رطوبت پایین، بهویژه در فصول سرد یا در اتاقهای تمیز (Clean Room)، احتمال تجمع بارهای استاتیکی را بهشدت افزایش میدهد.
خطرات ESD برای تجهیزات الکترونیکی
رویدادهای ESD، بهویژه در محیطهایی که دارای تجهیزات الکترونیکی دقیق هستند، میتوانند پیامدهای جدی بههمراه داشته باشند. برخی از مهمترین این خطرات عبارتاند از:
- خرابی قطعات الکترونیکی: تخلیه ناگهانی بار الکتریکی میتواند به آسیب فوری یا تدریجی در نیمههادیها و مدارهای مجتمع منجر شود و عملکرد صحیح تجهیزات را مختل کند.
- از بین رفتن یا خرابی دادهها: در مراکز داده یا سامانههای ذخیرهسازی، ESD ممکن است باعث اختلال در سیگنالها و در نهایت، فساد یا از دست رفتن اطلاعات شود.
- خطرات ایمنی: در صنایع پرخطر مانند نفت، گاز یا پتروشیمی، یک جرقه ناشی از ESD میتواند گازها یا بخارات قابل اشتعال را مشتعل کرده و فاجعهآفرین باشد.
- خسارات اقتصادی: اختلال در تجهیزات، نیاز به تعمیر یا تعویض، توقف خطوط تولید و از بین رفتن دادهها میتواند منجر به هزینههای سنگین و کاهش بهرهوری شود.
با توجه به تنوع منابع و شدت آسیبهای احتمالی، اجرای سیستمهای مدیریت و کنترل ESD به یک ضرورت حیاتی برای حفظ ایمنی، افزایش عمر مفید تجهیزات و جلوگیری از خسارات اقتصادی تبدیل شده است.
پیشنهاد مطالعه: خطرات الکتریسیته ساکن
مکانیزم عملکرد سیستمهای تخلیه الکترواستاتیکی
سیستمهای تخلیه الکترواستاتیکی، راهکارهای مدرنی برای مقابله با خطرات ناشی از ESD در محیطهای صنعتی هستند. این سیستمها با بهرهگیری از فناوریهای پیشرفته، امکان دفع ایمن بارهای استاتیکی را فراهم کرده و از وقوع تخلیههای ناگهانی و آسیبزا جلوگیری میکنند. برخلاف روشهای سنتی اتصال به زمین که صرفاً به یک مسیر رسانا برای تخلیه بار متکی هستند، سیستمهای EDS از ترکیبی از حسگرها، مسیرهای کنترلشده و تجهیزات نظارتی بهره میبرند تا فرآیند دفع بار را بهصورت هوشمندانه و پیوسته مدیریت کنند.
محصولات EDS شرکت سانا صنعت کنزا با هدف تأمین ایمنی بالا و حفاظت کامل در صنایع مختلف طراحی شدهاند. این سیستمها شامل اجزایی نظیر الکترودهای ارت، مسیرهای هدایت جریان و ابزارهای نظارتی هستند که در کنار یکدیگر عملکردی دقیق و قابلاعتماد ارائه میدهند.
مراحل عملکرد سیستم EDS
عملکرد سیستمهای تخلیه الکترواستاتیکی به سه مرحله اصلی تقسیم میشود:
- تشخیص بار استاتیکی: در اولین مرحله، حسگرهای سیستم EDS بارهای تجمعیافته روی سطح تجهیزات یا افراد را شناسایی میکنند. این حسگرها میزان میدان الکتریکی یا اختلاف پتانسیل الکتریکی را اندازهگیری کرده و با هشدار به موقع، از خطرات احتمالی جلوگیری میکنند.
- تخلیه کنترلشده بار: پس از شناسایی بار، سیستم آن را از طریق مسیری با مقاومت پایین به زمین هدایت میکند. طبق قانون اهم، هرچه مقاومت مسیر پایینتر باشد، تخلیه بار سریعتر و ایمنتر انجام میگیرد. در این مرحله، نقش طراحی مهندسیشده مسیرهای رسانا بسیار کلیدی است.
- نظارت بلادرنگ: یکی از مزایای سیستمهای پیشرفته EDS شرکت سانا، قابلیت پایش دائمی عملکرد است. این سیستمها به اپراتورها امکان میدهند تا از هرگونه ناهنجاری مانند افزایش مقاومت در مسیر اتصال به زمین یا عدم تخلیه مؤثر بار آگاه شوند و اقدامات اصلاحی را بهسرعت انجام دهند.
نقش الکترود اتصال به زمین در EDS
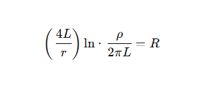
الکترود ارت، که هسته اصلی عملکرد سیستم EDS است، معمولاً در خاک دفن میشود تا یک نقطه مرجع پایدار برای تخلیه بار فراهم کند. کارایی این الکترود به کیفیت تماس آن با خاک و مقاومت الکتریکی خاک وابسته است. رابطه مقاومت الکترود با ویژگیهای فیزیکی محیط طبق فرمول زیر بیان میشود:

در این فرمول:
- ρ: مقاومت ویژه خاک
- L: طول الکترود
- r: شعاع الکترود
محصولات سانا صنعت کنزا با در نظر گرفتن شرایط اقلیمی مختلف، بهگونهای طراحی شدهاند که با حداقل مقاومت ممکن، بیشترین راندمان در تخلیه الکترواستاتیکی را ارائه دهند.
نوآوری های فناوری در سیستم های EDS
سیستمهای EDS شرکت سانا صنعت کنزا با بهرهگیری از جدیدترین فناوریهای روز، ویژگیهایی فراتر از اتصال زمین سنتی ارائه میدهند. برخی از نوآوریهای کلیدی این سیستمها عبارتند از:
- مسیرهای با امپدانس پایین: طراحی بهینه مسیرهای رسانا در این سیستمها موجب میشود تخلیه بار استاتیکی با سرعت بالا و کمترین افت ولتاژ انجام شود. این ویژگی نقش مهمی در جلوگیری از آسیب به تجهیزات حساس دارد.
- سازگاری با شرایط محیطی مختلف: سیستمهای EDS سانا برای عملکرد پایدار در محیطهای صنعتی با شرایط چالشبرانگیز نظیر رطوبت بالا، خوردگی یا دمای بالا طراحی شدهاند. این قابلیت انعطافپذیری، آنها را به گزینهای قابل اتکا در صنایع گوناگون تبدیل میکند.
- پایش و تشخیص یکپارچه: بهرهگیری از ابزارهای نظارتی پیشرفته، امکان مانیتورینگ بلادرنگ و تشخیص سریع ناهنجاریها را فراهم میکند. این ویژگی به اپراتورها کمک میکند تا از کارکرد صحیح سیستم اتصال به زمین اطمینان حاصل کرده و اقدامات پیشگیرانه را در زمان مناسب انجام دهند.
مقایسه با روش های سنتی اتصال به زمین
سیستمهای متداول اتصال به زمین که معمولاً از میلههای مسی یا تسمههای ساده تشکیل میشوند، با محدودیتهای قابل توجهی روبهرو هستند:
- عدم نظارت لحظهای: این سیستمها فاقد قابلیت پایش پیوسته هستند، در نتیجه تشخیص خرابیها یا کاهش عملکرد بهموقع انجام نمیشود.
- تأثیرپذیری بالا از شرایط محیطی: مقاومت خاک و تغییرات رطوبت یا دما، بهطور مستقیم بر کارایی سیستم اثر میگذارد و میتواند باعث کاهش راندمان تخلیه شود.
- کنترل غیردقیق در بارهای شدید: سیستمهای سنتی در مقابله با رویدادهای ESD با شدت بالا یا ناگهانی، عملکرد قابل اعتمادی ندارند و ممکن است باعث آسیب به تجهیزات شوند.
دستگاه ارت الکترونیک طراحی شده توسط سانا صنعت کنزا، با رفع کاستیهای فوق، مزایای قابل توجهی ارائه میدهند:
- قابلیت اطمینان بالا: با نظارت لحظهای بر سیستم، همواره عملکرد مطلوب تضمین شده و از بروز آسیبهای ناگهانی جلوگیری میشود.
- سازگاری گسترده: این سیستمها در محیطهای سخت و صنعتی نیز با ثبات بالا عمل میکنند، از جمله در صنایع نفت، گاز، پتروشیمی، دیتا سنترها و مراکز مخابراتی.
- پاسخدهی سریع: استفاده از مسیرهای با امپدانس پایین باعث تخلیه فوری بارهای استاتیکی شده و مانع از وارد شدن شوکهای الکتریکی به تجهیزات حساس میشود.
- کاهش هزینههای نگهداری: با جلوگیری از خرابی تجهیزات، زمان توقف عملیات کاهش مییابد و هزینههای تعمیرات و جایگزینی بهشکل محسوسی پایین میآید.
- انطباق با استانداردهای جهانی: این سیستمها مطابق با استانداردهای بینالمللی مانند IEEE 80 و IEC 62305 طراحی و پیادهسازی شدهاند و حداکثر ایمنی و کارایی را تضمین میکنند.
نتیجهگیری
پدیده تخلیه الکترواستاتیکی یکی از چالشهای جدی در صنایع مدرن است که میتواند تجهیزات الکترونیکی حساس را بهشدت تحت تأثیر قرار دهد. درک صحیح از اصول علمی ESD و بهرهگیری از راهکارهای پیشرفته اتصال به زمین، نقش کلیدی در پیشگیری از این آسیبها دارد.
سیستمهای EDS شرکت سانا صنعت کنزا با طراحی نوآورانه، پایش بلادرنگ، و تطابق با شرایط محیطی و استانداردهای جهانی، جایگزینی مطمئن و مؤثر برای روشهای سنتی محسوب میشوند. با رشد روزافزون اتوماسیون صنعتی و وابستگی به تجهیزات الکترونیکی پیشرفته، استفاده از فناوریهای پیشرفته EDS دیگر یک انتخاب نیست، بلکه یک ضرورت است.

بدون دیدگاه